Fenómeno ------> Movimiento
… Teoría de la relatividad (TR)…A Einstein
En la descripción del Fenómeno Movimiento debemos de considerar lo siguiente,
a) El observador, referencia, O
----> Descriptor del movimiento
"La trayectoria es función del estado del observador”, t º t (O)
Por ejemplo, si se deja caer una pelota, la caída es descrita por O y O’, tal como se muestra a continuación,
Por ejemplo, si se deja caer una pelota, la caída es descrita por O y O’, tal como se muestra a continuación,
Por lo tanto, la trayectoria es una función de estado del observador.
a) El móvil, representado por el punto P usando el Modelo de Partícula, el cual se usa cuando del movimiento del cuerpo solo nos interesa la componente trasnacional.
Modelo de Partícula:
a) El móvil, representado por el punto P usando el Modelo de Partícula, el cual se usa cuando del movimiento del cuerpo solo nos interesa la componente trasnacional.
Modelo de Partícula:
Dfinición de Cinemática: La cinemática describe el fenómeno movimiento usando las cantidades cinemáticas (cc):
: vector posición
: vector velocidad
: vector aceleración
1,1) Cantidades Cinemáticas, cc
i) Vector Posición,
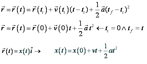
Describe la posición del móvil en el tiempo. Es el problema fundamental de la cinemática,
: vector posición
: vector velocidad
: vector aceleración
1,1) Cantidades Cinemáticas, cc
i) Vector Posición,
Describe la posición del móvil en el tiempo. Es el problema fundamental de la cinemática,
Vector desplazamiento : Describe como cambia la r:
ti -----> tf : Dt = tf - ti

i) Vector velocidad,
Describe los cambios de la posición respecto del t,
j) Definición de Vector velocidad media,
Es la velocidad aplicable a intervalos.

jj) Definición de Vector velocidad instantánea,
Es la velocidad que posee el móvil en cada instante de tiempo. Se define mediante el limite de la . El siempre es tangente a la t.
Este límite especial en FI será denominado derivada,inición de rapidez,
: rapidez
*. Describa que es el tiempo según la lectura de “Breve historia del tiempo” de Stephen Hawking.
i) Vector Aceleración,
Describe los cambios de la velocidad respecto del t.
j) Definición de Vector aceleración media,
Es la aceleración aplicable a intervalos.

jj) Definición de Vector aceleración instantánea,
Es la aceleración que posee el móvil en cada instante de tiempo. Se define mediante el limite de la . La siempre es cóncava a la t.
: rapidez
*. Describa que es el tiempo según la lectura de “Breve historia del tiempo” de Stephen Hawking.
i) Vector Aceleración,
Describe los cambios de la velocidad respecto del t.
j) Definición de Vector aceleración media,
Es la aceleración aplicable a intervalos.

jj) Definición de Vector aceleración instantánea,
Es la aceleración que posee el móvil en cada instante de tiempo. Se define mediante el limite de la . La siempre es cóncava a la t.
Este límite especial en FI será denominado derivada,
1* Será importante definir . Existirá alguna rama de la tecnología donde interese conocer esta cantidad.
kkk) Graficas
l) v-t

A(t)=x(t)
ll) x-t

A: No da información cinemática
jj) Movimiento rectilíneo uniformemente variado (MRUV)
k) Condiciones

kk) Ecuaciones
l)

II)


IlI)
l) v-t

A(t)=x(t)
ll) x-t

A: No da información cinemática
jj) Movimiento rectilíneo uniformemente variado (MRUV)
k) Condiciones

kk) Ecuaciones
l)

II)


IlI)
A(t)=v(t)
Il) v-t
Il) v-t

A(t)=x(t)
lll) x-t

A: no proporciona información cinemática.
* Definición de movimientos acelerados
Movimientos acelerados:
DEF:

Por ejemplo, ¿Qué intervalos corresponden a movimientos acelerados?

ii) Movimientos Planares o Bidimensionales
Las trayectorias están contenidas en un plano.
t =R^2 (II)
j) Movimiento Parabólico, MP
Caso .
Los movimientos parabólicos con aceleración constante son producidos cuando la v(0) no es paralela a la . El plano del movimiento es determinado por los vectores velocidad inicial y aceleración . El eje de la parábola es paralelo a la . Estos movimientos también presentan simetría de rapideces y tiempos a un mismo nivel.

La forma más sencilla de describir los MP consiste en asumir uno de los ejes, el eje Y, paralelo a la aceleración, tradicionalmente , de tal forma que,
Y---->, simplifica la descripción:
X: MRU --> ax º 0
Y: MRUV --> ay = a º g (por lo general)
Esta simplificación de la descripción es debido al “carácter” vectorial de la Física ® Cinemática,
MP = MRUx “+” MRUVy
Por supuesto que la elección del sistema coordenado puede ser arbitraria, esto es, tomar los ejes XY en cualquier dirección, lo cual conduce a la descripción general,
MP= MRUVx “+” MRUVy (caso general, X e Y en cualquier dirección)
Simetrías:

-Proporcionalidad de la trayectoria a ambos lados del eje.
- Para todo nivel:
va = vd (rapideces)
ta= td
Aplicación importante del MP: Movimiento de proyectiles
Como ha de suponerse, este movimiento no toma en cuenta alturas superiores a 20 km, existencia de aire ni rotación de la tierra. El movimiento de proyectiles constituye un caso interesante de la ciencia donde determinados campos de investigación, el desarrollo de proyectiles, por ejemplo, resultan favorecidos por motivos impropios. El desarrollo de la cohetería efectuado desde finales del siglo XIX hasta mediados del siglo XX, jugo un papel preponderante en las 2 guerras mundiales así como en la conquista del espacio…
El movimiento de proyectiles suele describirse usando ciertos parámetros como tiempo de vuelo, tv, alcance o rango, R y altura máxima, H. Si consideramos la siguiente geometría,

i) Tiempo de vuelo, tv

ii) Alcance o Rango, R

iii) Altura máxima, H

PROBLEMAS :
1) Un cañón está colocado para que dispare sus proyectiles con una rapidez inicial v0 directamente hacía una colina, cuyo ángulo de elevación es a ¿Cuál será la longitud R a la que impacten los proyectiles sobre la colina?
SOLUCION:

x: MRU
x(t) =x(0) + vx (0) t ---> x(t) =0 + {v(0) cosq} t …. (1)
y: MRUV
y(t) º=y(0) + vy (0) t – (1/2)g t2 , = 10, ---> y(t) = 0 + {v(0) senq} t t2 …. (2)
DE 1)


2) ¿Cuál es el ángulo de elevación del lanzamiento de un proyectil para que su alcance sea el doble que su altura máxima?
SOLUCION:

3) Se lanza un cuerpo con una rapidez de 40 m/s, haciendo un ángulo de 37º, desde la azotea de un edificio de altura H, impactando en el suelo a una distancia de 160 m, medida desde la base del edificio. Halle la altura máxima alcanzada por el cuerpo con respecto al piso.
SOLUCION:

De la grafica adjunta, representando al punto de impacto con el piso, P=P (160,-H), y reemplazarlo en la ecuación de la parábola para hallar H,
Ahora, en el MP de 0Q, hallamos la altura máxima,
4) Se lanza un cuerpo con una rapidez v(0)=20 m/s, haciendo un ángulo de 53º, desde la azotea de un edificio de altura 20 m, impactando en el suelo a una distancia d, medida desde la base del edificio. Halle la distancia d y la altura máxima con respecto al suelo alcanzada por el cuerpo.
SOLUCION:
a) Usando el eje Y para calcular el tiempo de movimiento, t,

jj) Movimiento Circular, MC
La trayectoria será de una circunferencia.

La descripción del MC se realiza frecuentemente usando las variables s o q, esto es, usando variables lineales o angulares.
k) Cantidades Cinemáticas del MC
l) Posición
m) Lineal: s= s(t)
mm) Angular: q =q(t)
mmm) Relación: s= Rq
ll) Velocidad
m) Velocidad Lineal, v=vt
La llamada velocidad tangencial es la velocidad definida en las cantidades cinemáticas iniciales, se relaciona con s mediante la rapidez,

mm) Velocidad Angular, w
Describe los cambios de q respecto del tiempo. Se define de la siguiente forma,

u[w]= rad/s
mmm) Relación entre v y w

lll) Aceleración
m) Aceleración, a
El vector aceleración suele descomponerse en dos direcciones adecuadas, tales como la radial y la tangencial, resultando,

A la componente radial de la aceleración se le denomina aceleración centrípeta, acp.
mm) Aceleración Angular, a
Describe los cambios de la w respecto del tiempo,

u[a]= rad/s2
mmm) Relación entre at y a

kk) Tipos de movimientos Circulares
Al igual que en el caso de los MR podrían ser MCU, MCUV.
Aplicando conceptos de simetría, es posible vincular al MCU con el MRU y al MCUV con el MRUV, en cuyos casos tanto las ecuaciones como los gráficos son equivalentes, por lo tanto se usaran las mismas ecuaciones y gráficos para el MCU y el MCUV, respectivamente.
PROBLEMAS:
1) Europa, la Luna de Júpiter, tiene un radio orbital de 6,67 x 108 m y un periodo de 85,2 h. Calcule la magnitud de a) la velocidad orbital, b) la velocidad angular y c) la aceleración centrípeta de Europa.
SOLUCION:
2) Dos partículas pasan simultáneamente (MCU) por los extremos de un diámetro AB y en los sentidos indicados en la figura. Si giran con periodos TA = 25 segundos y TB = 30 segundos respectivamente, calcular al cabo de que tiempo logran cruzarse por segunda vez.
SOLUCION:
3) En una pista circular un ciclista puede dar tres vueltas en un minuto y otro sólo 2 vueltas en un minuto. Si ambos parten de dos puntos diametralmente opuestos y avanzan uno al encuentro del otro ¿en qué tiempo s encontraran y que porción de circunferencia habrá recorrido cada uno?
SOLUCION:
4) En una pista circular un ciclista puede dar tres vueltas en un minuto y otro sólo 2 vueltas en un minuto. Si ambos parten de dos puntos diametralmente opuestos y avanzan uno al encuentro del otro ¿en qué tiempo s encontraran y que porción de circunferencia habrá recorrido cada uno?
SOLUCION:
SOLUCION:




















No hay comentarios:
Publicar un comentario